2018-03-01から1ヶ月間の記事一覧

日本とアメリカでアレグラの用量、用法が違う!理由を半減期を根拠に計算してみた

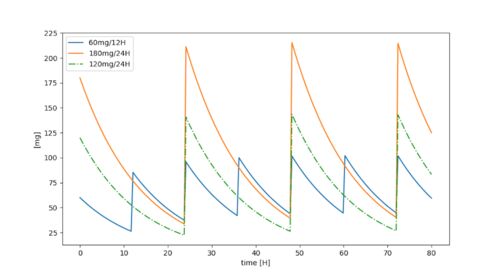
概要 アメリカ出張時に、薬局でアレグラの説明を読むと、日本と違うことが書かれている。 具体的に比較すると以下の通り。日本:60mgを1日2回 (合計120mg) アメリカ:180mgを1日1回アメリカは1日1回でいい代わりに、1日の用量が日本の1.5倍になっている。 1日1…

AlexaにLine経由でリマインドして貰うSkillを作った(Python, Line Notify API)

概要 Alexaアプリ第二弾。 今度はAlexaに話しかけることで、Lineに通知・リマインドしてくれるアプリを作った。 Echoに対して、 「アレクサ、リマインダーで⚪︎⚪︎とリマインドして」 と話しかけると、Lineに⚪︎⚪︎の部分を通知してくれる。[第一弾はこちら] 【A…